![]() |
LA SCIENCE |
| Accueil | Réflexions | La Science |
Intuitivement, les fonctions simples ne peuvent avoir qu'un comportement simple et prévisible, facile à calculer. Cette intuition est en fait totalement fausse. S'il est vrai que les fonctions linéaires se comportent sagement, il n'en va pas de même dès que l'on passe à une fonction légèrement plus complexe.
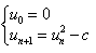
Nous allons commencer par un exemple simple, en observant le comportement de la suite
![]()
selon la valeur du paramètre c.
|
Sur cet exemple, c=0,7 |
|
Sur cet exemple, c=0,86 |
|
Sur cet exemple, c=1,3 |
|
Sur cet exemple, c=1,52 |
|
Cependant, cette régularité est très approximative. Sur cet exemple, c=1,544 |
Pour étudier la variation des "limites" de la suite en fonction de c, on trace un diagramme avec c en abscisse et les limites en ordonnée.

La figure obtenue s'appelle un diagramme de Feigenbaum. On voit la limite unique pour les petites valeurs de c se scinder de plus en plus vite. Cependant, on observe des intervalles de c pour lesquels le nombre de limites redevient faible, pour à nouveau se remultiplier.
Ces intervalles se traduisent sur le diagramme par des bandes blanches verticales. Ci-dessous, l'échelle des abscisses a été étirée pour permettre de mieux voir ce qui se passe dans une bande.

On peut donc observer l'incroyable complexité engendrée par une suite si innocente d'apparence, complexité qui se maintient à toutes les échelles.
La suite que nous étudions, bien que ne convergeant pas toujours vers une unique limite, reste bornée pour c compris entre -0,25 et 2.
Un autre problème intéressant concernant cette suite est de regarder pour quelles valeurs complexes de c elle reste bornée. On tracera donc un diagramme avec en abscisse la partie réelle de c et en ordonnée la partie imaginaire de c. La couleur du point correspondant à c sera fonction de la rapidité avec laquelle la suite diverge, noir lorsqu'elle reste bornée.
|
Cet ensemble possède des frontières extrêmement irrégulières. |
Lorsqu'on
observe de plus près un détail de cet ensemble, l'irrégularité
de ses frontières persiste. Ce type de figure est appelé fractale,
car cette frontière est une figure de dimension fractionnaire, comprise
entre 1 et 2. |
En continuant
à grossir un détail de la figure, on revoit des formes ressemblant
à la figure entière. Ces propriétés d'autosimilarité
sont typiques des fractales. |
|
Cette figure mathématique a en effet fasciné des nombreuses personnes, mathématiciens, informaticiens, et jusqu'au célèbre auteur de Science-Fiction Arthur C. Clarke (2001, l'Odyssée de l'espace), qui a mis cet ensemble au coeur de son roman "Le fantôme venu des profondeurs" |
Outre la complexité de leur comportement, les suites chaotiques ont une autre propriété importante : leur extrême sensibilité aux conditions initiales. Toute infime variation de la valeur initiale d'une suite chaotique entraîne au bout d'un certain temps une variation majeure de la valeur des termes de la suite; on entend par variation majeure une variation du même ordre de grandeur que la valeur des termes eux-mêmes.
L'exemple suivant a été calculé sur un tableur standard. La même suite a été calculée en exprimant la relation entre deux termes consécutifs de deux manières différentes. Ces deux relations sont mathématiquement rigoureusement équivalentes; cependant, les inévitables erreurs d'arrondi de l'ordinateur ne sont pas totalement équivalentes, ce qui aboutit à deux suites identiques au début, mais qui n'ont plus rien à voir à partir du soixantième terme.

La conséquence d'un tel comportement est la totale imprédictibilité des valeurs de la suite sur le long terme. L'augmentation de la précision des calculs ne fait que reculer l'horizon d'imprédictibilité. Le déterminisme théorique s'est mué en pratique en comportement aléatoire.
La théorie du chaos a bien entendu des conséquences pratiques bien réelles. Elle permet par exemple d'expliquer pourquoi il est impossible de prévoir le temps qu'il fera dans un mois, même en utilisant les ordinateurs les plus puissants et en disposant des observations les plus précises et les plus exhaustives possible. Comme on dit de manière imagée, le battement d'aile d'un papillon peut déclencher quelques semaines plus tard une tempête de l'autre côté de la Terre.
Hervé Jamet
Décembre 2003
| Accueil | Réflexions | La Science |
| Pour écrire |